La contratación en la Unidad para las Víctimas, convertida en un fortín político de un polémico clan de Santander, está en la mira de los organismos de control. SEMANA revisó más de 470 contratos que ponen en evidencia los cuestionados movimientos en torno a esta entidad bajo el mandato de Gustavo Petro.
El control de la Unidad está en manos del senador Gustavo Moreno, quien ha militado en partidos como En Marcha y ASI, con su maquinaria del Magdalena Medio. Manejar el presupuesto para las víctimas fue un premio que le dio la Casa de Nariño a ese congresista por votar a favor los proyectos del presidente en el Congreso.
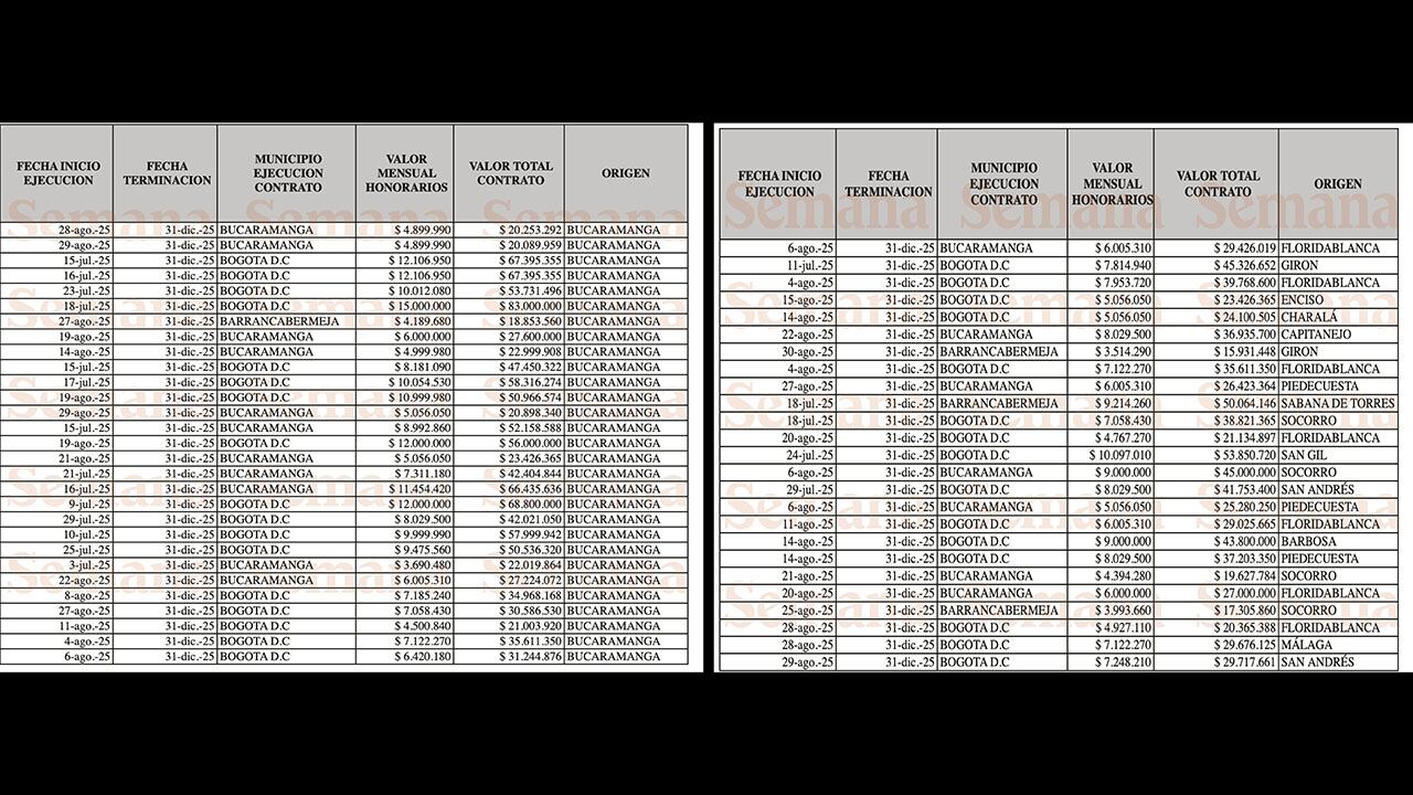
SEMANA revela la matriz de contratación que prueba el fortín político en que se convirtió la Unidad, el nombre de la persona que estaría hilando estas maniobras en la sombra y los cuestionamientos a un multimillonario proyecto.
Asimismo, la historia de controvertidas resoluciones y los impactantes testimonios de los contratistas que son testigos de las múltiples irregularidades, que hasta ahora tienen en silencio al presidente Petro. La Procuraduría y la Contraloría ya avanzan en sus pesquisas.

Telaraña de contratación
El poder del senador Moreno se materializó en junio pasado, cuando se nombró al exescolta Adith Rafael Romero como director general, y este removió a la mayoría del equipo directivo y lo reemplazó por sus amigos del Magdalena Medio. Todos tienen sus raíces en Santander y el mismo padrino político: Alfonso Eljach, exalcalde de Barrancabermeja.
Entre julio y septiembre de este año, la Unidad ha llevado a sus oficinas a 530 contratistas, cuyos honorarios salen de su presupuesto (14.287 millones de pesos) y del Fondo para la Reparación a las Víctimas (4.921 millones de pesos).

SEMANA puso la lupa sobre 479 contratos de prestación de servicios que se han costeado con el bolsillo de la Unidad en los últimos tres meses. Al estudiar el origen de cada una de las personas, se conoció que los santandereanos han sido los más bendecidos por Adith Rafael Romero y su administración: 157 de ellos, el 32 por ciento de los contratistas, provienen de esa región, la misma del senador Gustavo Moreno. 104 más provienen de Bogotá; 39 son de Norte de Santander, donde también tiene intereses electorales el congresista; 29 tienen sus raíces en Boyacá; y el número restante, 150 contratistas, se dividen en 20 departamentos.

La pista Santander
SEMANA ya había revelado que de los 42 cargos directivos que hay en la Unidad para las Víctimas, 22 tienen conexión con el senador Gustavo Moreno. Pero son más las personas que habrían llegado a la entidad con su bendición. En los últimos tres meses, 157 santandereanos aterrizaron en las oficinas: 79 son de Bucaramanga, 48 de Barrancabermeja –la tierra del congresista y del director general– y los otros 30 provienen de 14 municipios más de este departamento. Todo esto respondería al fortín político que tiene el sello de Eljach, Moreno y Romero, según testimonios de los propios trabajadores de la Unidad para las Víctimas. El senador Gustavo Moreno busca llegar de nuevo al Congreso, en las elecciones legislativas de marzo de 2026.
Uno de los contratistas que lleva varios años en la entidad denunció en SEMANA, y ante los entes de control, que la administración de Adith Romero “ha saqueado los recursos públicos para incrementar la cuota burocrática, para pagar favores políticos y hacer campaña para el senador Gustavo Moreno”, y prueba de ello serían las comunicaciones que estos contratistas tienen con las víctimas: “Estos profesionales, cada vez que hay una actividad con las víctimas, llevan claro el mensaje que la entrega de ayudas es gracias a la gestión del senador Gustavo Moreno, politizando a las víctimas y haciendo de los recursos de las víctimas el fortín de su plataforma política”.

Cuatro contratistas, que trabajan como agentes de contratación, señalaron a Andrea del Pilar Moya como la persona encargada de tramitar las hojas de vida de este clan político.
“Presionó a las diferentes áreas de la Unidad para crear necesidades y lograr su cometido, de vincular a todos estos contratistas, que son personas encargadas de hacer campaña desde la Unidad al senador Gustavo Moreno. (La) señora, desde el primer día de la administración del director Adith Rafael Romero, orquestó toda esta nómina politiquera”, detalló uno de los empleados que recibió las presuntas órdenes.

Al parecer, Andrea del Pilar Moya, pese a no tener una relación laboral con la Unidad para las Víctimas en ese momento, se ubicó en la sala de reuniones del quinto piso de la entidad para direccionar la contratación desde las primeras semanas de julio. “Decía a quién contratar, dónde contratarlo y por cuánto contratar”, agregó una de las fuentes que pidió omitir su identidad por motivos de seguridad. Según esta persona, “(la) información se puede corroborar con la validación de acceso al complejo logístico San Cayetano, ubicación de las instalaciones de la Unidad, y las cámaras de vigilancia”.

Solo fue hasta el 30 de julio cuando la Unidad le entregó un contrato por 4.500.840 pesos, a través de la Dirección de Registro y Gestión de la Información. Más tarde fue nombrada asesora de la Dirección General, desde donde continuaría direccionando la contratación: “Ella es muy astuta, no deja huella ni rastro de su actuar. Maltrata, grita y presiona. En las reuniones donde estamos, se pide no ingresar celulares y relojes, y nos requisan por temor de grabar las conversaciones; esto nunca había pasado en la Unidad”.
De acuerdo con la hoja de vida, ella es filósofa y especialista en gobierno y gestión pública con amplia experiencia en el sector. Entre sus actividades, ha trabajado en el Concejo de Bogotá, en las alcaldías locales de la capital del país, en la secretaría general del Senado y en la Comisión Sexta de la misma corporación, durante el periodo en el que Gustavo Moreno fue nombrado presidente (2023–2024).
Controvertidas resoluciones
Otra de las situaciones que causa preocupación en la Unidad para las Víctimas tiene que ver con una serie de resoluciones que emitió el director general, Adith Romero, para tener el control absoluto de las finanzas. Los documentos hacen referencia al ordenamiento del gasto, que históricamente era una tarea del secretario general de la entidad, pero que le fue removida el pasado 17 de junio porque no sería de la confianza de la nueva administración.

Ese día se ordenó que el gasto quedara en manos del subdirector de la Unidad, Fredy Orlando Quintero. Él será llevado a juicio por la Fiscalía en las próximas semanas por aparentes nexos con la guerrilla del ELN cuando se desempeñó como alcalde de Chitagá (Norte de Santander). Extrañamente, Romero le arrebató esta función el 3 de julio por supuestas diferencias y confrontaciones, y las asignó a alguien de su entero respaldo: Carlos Arturo Vásquez.
Este hombre, cuya tarea fue ratificada el pasado 3 de septiembre, es el jefe de la oficina asesora jurídica y cercano al clan político del senador Gustavo Moreno. Fue gerente general de la empresa de servicios públicos Aguas de Barrancabermeja S. A. durante la administración de Alfonso Eljach y luego se desempeñó como secretario general de la Contraloría del mismo municipio para luego saltar a la Unidad para las Víctimas.

La Contraloría ya fue alertada de algunas decisiones que ha tomado Carlos Arturo Vásquez. Una queja alerta de presunto direccionamiento de contratación de la Unidad para las Víctimas hacia instituciones “de dudoso nombre y trayectoria”. La atención está sobre un contrato interadministrativo suscrito con la Red de Universidades (Redu) por 41.504 millones de pesos, con el objetivo de “aunar esfuerzos administrativos, técnicos y financieros entre la Unidad para la Atención y Reparación Integral a las Víctimas y la Red Universitaria, para la implementación y cumplimiento de acciones enmarcadas en los planes integrales de reparación colectiva, a través de la entrega de bienes de uso colectivo, fortaleciendo los sujetos de reparación colectiva”.

La acusación es que, para llevar a cabo la contratación, el subdirector de reparación colectiva, Fabián Agudelo Mendieta, se habría saltado “todos los principios de la contratación y las modalidades de selección de subasta inversa y acuerdo marco de precios para justificar un contrato interadministrativo con la Red de Universidades”, se lee en la queja que llegó al ente de control fiscal.
Sobre la mesa hay varios cuestionamientos, como el que planteó a SEMANA uno de los empleados que estuvo cerca de este proceso en la Unidad: “¿De cuándo acá el objeto de una Red de Universidades es comprar maquinaria agrícola, vehículos, elementos deportivos, equipos de audio y video, equipos biomédicos, maquinaria para emprendimientos e insumos agropecuarios?”.
Los órganos de control tienen la mirada puesta sobre la Unidad para las Víctimas. La Contraloría inspeccionará los polémicos contratos que han causado preocupación en la opinión pública y la Procuraduría revisará las actuaciones del director general, Adith Romero, y las denuncias de las intervenciones del senador Gustavo Moreno. Los dos funcionarios públicos se han negado reiteradamente a atender entrevistas con SEMANA para responder por las graves denuncias que los salpican.

La preocupación sigue aumentando en los pasillos de la entidad, pero también la necesidad de que el país sepa realmente qué es lo que está ocurriendo: “Están saqueando, literalmente, la Unidad para las Víctimas, con los recursos de las víctimas. Esto lo debe saber Colombia, se deben tomar decisiones”, manifestó una de las fuentes de la entidad bajo anonimato. Cada día siguen llegando quejas a este medio: hay alarmas por posibles presiones para acomodar contratos a la medida de los interesados y ofrecimientos de recursos para materializar las polémicas tareas.
“Si lo hace bien, tiene trabajo el próximo año”, le mencionó el asesor de un alto directivo a una de las personas. Todo con los dineros designados para atender a las víctimas del conflicto armado en Colombia.
