Dejando claro que no confía en la investigación que se está llevando en su contra en la Corte Suprema de Justicia, en la que se han puesto sobre la mesa las pruebas de su presunta relación de negocios con Álex Saab, extraditado a Estados Unidos y presunto testaferro del régimen de Nicolás Maduro; así como el uso de su labor como mediadora en la liberación de secuestrados para ganar créditos políticos para ella, las Farc y el expresidente Hugo Chávez, la ahora senadora electa por el Pacto Histórico, Piedad Córdoba, pidió al comité de ética de su colectividad adelantar lo más rápido posible la investigación en su contra.

“Pido que sea definida prontamente la comisión de ética para analizar mi caso. Que se garantice la participación en ella de la Unión Patriótica, que validó mi candidatura, así como la de mujeres congresistas para que no exista sesgo de género”, advirtió Córdoba.
Carta a Gustavo Petro
— Piedad Córdoba (@piedadcordoba) March 15, 2022
Compañero @petrogustavo:
Solicito sea definida prontamente la Comisión de Ética del Pacto Histórico para demostrar mi plena inocencia.
Pido que las sesiones sean públicas para que el país pueda apreciar el trasfondo de estos casos fabricados en mi contra pic.twitter.com/7pEEtKvBgU
Para ejercer su defensa señaló que “pido de igual forma que se me permita ejercer mi derecho constitucional al debido proceso, compareciendo no individualmente, sino con mi equipo jurídico y mi equipo asesor para presentar las pruebas pertinentes que desmientan las falacias en mi contra”.
Aunque las pruebas son claras y no se trata de señalamientos particulares, sino de documentos, como los que ha publicado SEMANA, en los que ven las transacciones que hacía con Saab, señala que se trata de un persecución política y advierte que “de igual forma solicito sean escuchados testimonios de aquellas personas que pueden contribuir al esclarecimiento de la verdad en este caso de persecución política, dejando abierta de igual manera la posibilidad de que quienes dudan de mi inocencia presenten de forma similar los testigos que así consideren”.

Córdoba asegura que se trata de una persecución y afirma que “agentes externos que pretenden intervenir en los resultados de los comicios de este año 2022 que el pasado domingo nos han convertido en la primera fuerza política del país; esas agencias en contubernio con tenebrosos poderes internos, han activado planes contra el Pacto Histórico, utilizándome como florero de Llorente”.
Agrega que “lobbies empresariales extranjeros con tentáculos en los emporios informativos de difusión de Colombia han dictaminado mi linchamiento mediático y por añadidura el de toda nuestra coalición”.

Córdoba no dio ninguna explicación de las acusaciones en su contra; por el contrario, se amparó en una persecución política y judicial, en este caso de la magistrada que lleva su caso en la Corte Suprema de Justicia, “autoridades judiciales nítidamente parcializadas como la de la coronel del uribismo, Cristina Lombana, ha arreciado la guerra jurídica en mi contra, que realmente va dirigida hacia toda la oposición actual y quizás hacia actores claves de un futuro gobierno”
Pese a lo que señala Córdoba, y su intención de que la juzgue un tribunal de ética de su propio partido y no la Corte que constitucionalmente debe llevar su caso, los documentos dicen lo contrario.
Se trata de correos electrónicos con transacciones, nombres de socios, documentos escritos y revisados directamente por Córdoba, y hasta el cruce de comunicaciones de las millonarias transacciones con Saab. Es la primera vez que se conocen evidencias físicas de los jugosos negocios de Córdoba con el otrora poderoso empresario barranquillero, extraditado desde Cabo Verde.

Las evidencias son explosivas. Vásquez envió los documentos desde el exterior, donde se encuentra desde hace varios años, el pasado 15 de febrero. A esto se suma una solicitud de la Sala de Instrucción de la Corte que en este momento resulta demoledora: el alto tribunal envió una carta rogatoria a la Justicia de Estados Unidos en la que pide que se les permita entrevistar a Saab en su centro de reclusión para que cuente, de una vez por todas, en qué consistía su relación con Córdoba y hasta dónde llegaron sus negocios.
En las pruebas entregadas a la Corte, Vásquez ratifica que Córdoba tuvo negocios con Saab, y que “se trató de una gestión de recuperación de cartera con una comisión de éxito”, pero fue más allá y dijo que “Piedad Córdoba y sus hijos fueron informados detallada y periódicamente de todo el proceso, y de los cuestionamientos que tenían varias empresas dentro del listado de Álex Saab”.
Hay un revelador detalle que entregó Vásquez y no ha pasado desapercibido. Tiene que ver con la manera como Saab y Córdoba habrían usado empresas para mover las millonarias transacciones sin que fueran detectados por las autoridades.

“Cuando uno de los empresarios a los que ayudaba Piedad Córdoba para que les sacaran sus Cadivis le dijo que no podía seguir dándole dinero en efectivo en su apartamento, solicitó una empresa para transferir. Como hasta ese momento Piedad y sus hijos no habían creado la empresa y solo fue creada en mayo, Piedad Córdoba le pidió el favor a Álex Saab para que le prestara la cuenta de una empresa para que le depositaran a ella ahí y Álex le entregara el dinero en Colombia. Álex Saab le facilitó la misma empresa a la cual se le hizo el pago de la deuda de los tiquetes aéreos: Maquila textiles y confecciones”. Para que no quepa ninguna duda sobre la veracidad de lo que firma, Vásquez entregó los swifts de las transferencias de los pagos de comisiones a Córdoba a esas cuentas.
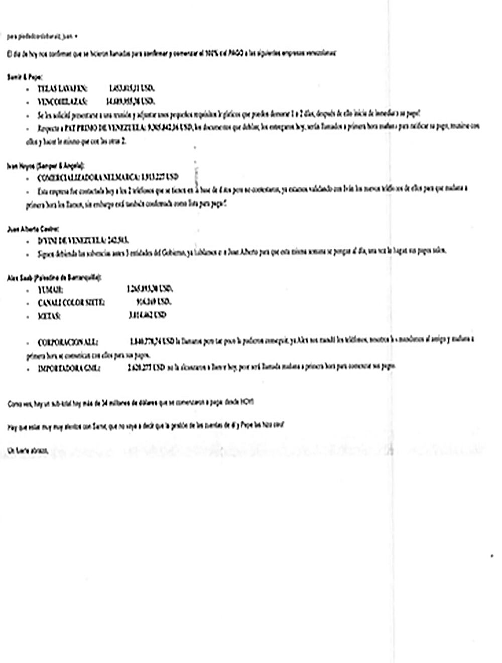
Pagos por 34 millones de dólares
El correo electrónico muestra un inventario de las empresas y los propietarios a los cuales Córdoba les estaba ayudando a gestionar los pagos.
“El día de hoy nos confirman que se hicieron llamadas para confirmar y comenzar el 100 % del pago a las siguientes empresas venezolanas”. Entre los propietarios de estas compañías con sede en el país vecino se destacan los desembolsos por millones de dólares que le hicieron a cinco de Saab, quien curiosamente es llamado en el documento “el palestino de Barranquilla”. Solo para él, Córdoba habría logrado gestionar pagos por cerca de 10 millones de dólares.

El correo cierra de forma contundente y le dicen a Piedad y a su hijo: “Como ves, hay un subtotal, hay más de 34 millones de dólares que se comenzaron a pagar hoy”.
La senadora electa tiene un juez natural, la Corte Suprema de Justicia, tribunal ante el cual ya están estas pruebas, ella insiste en cuestionarlo y le está dando una alta legitimidad al Tribunal de Ética de Pacto Histórico, que no tiene ningún tipo de implicación penal ni disciplinaria. La justicia dictará la última palabra.
