NACIÓN

Fiscalía: 4.000 cargos en la entidad salen a concurso, entre ellos 1.550 de fiscales. Los detalles de la historia aquí

El pasado 3 de marzo, la fiscalía liderada por Luz Adriana Camargo emitió el documento que abre el concurso para puestos en la entidad. Si se logra realizar, el enorme botín que representa esa planta de personal tendría por fin un tatequieto.

GoogleSiga las noticias que marcan la agenda del país en Discover y manténgase al día

9 de marzo de 2025 a las 6:31 a. m.
La entidad busca proveer 4.000 cargos
La entidad busca proveer 4.000 cargos Foto: Fotomontaje SEMANA

Si la fiscal general, Luz Adriana Camargo, logra sacar adelante el concurso de la Fiscalía, la entidad estaría a punto de vivir una de las transformaciones más profundas de su historia. Se trata de una tarea pendiente desde hace años en ese organismo. Y que, hasta ahora, ningún fiscal ha podido concretar por cuenta de los enredos jurídicos y políticos internos que giran alrededor de lo que es una de las plantas de personal más grandes del país.

En gran medida el poder de un fiscal general está en la posibilidad que tiene quien ocupa este cargo de nombrar a miles de personas. Se estima que pueden ser más de 23 mil funcionarios distribuidos en 35 seccionales en todo el país. Sin embargo, al ser parte de la rama judicial, la Corte Constitucional le ha venido exigiendo a la Fiscalía que realice concursos para la selección de sus funcionarios. La situación fue más compleja con la implantación del sistema acusatorio en el año 2004, pues en los debates en el Congreso se dijo que iba a necesitar menos personal cuando las complejidades del sistema exigían todo lo contrario.

La exfiscal Viviane Morales cuenta que, aunque se han realizado algunos intentos de hacer el concurso, la realidad es que en la entidad no más del 40% de funcionarios están allí por carrera. Y explica que lo que se ha hecho es nombrar a los funcionarios por provisionalidad. “Apenas se presente el concurso, la provisionalidad se acabaría”, aclara la exfuncionaria. Morales asegura que si el proceso está bien hecho, el concurso limitará, para bien, el poder de cualquier persona que ejerza el cargo de fiscal general y garantizará la independencia de los fiscales que entren a la carrera.

Los 4.000 puestos

El pasado 3 de marzo, la Fiscalía emitió una resolución que pone a andar el concurso. El documento, de 85 páginas, es firmado por Alejandro Giraldo López, el director ejecutivo de la entidad. La entidad cumple así con un fallo del Consejo de Estado que declaró el incumplimiento de la obligación que tenía la entidad de que los funcionarios que lleguen allí sean de carrera. En esa sentencia, el Consejo de Estado le da seis meses contados para: “Adelantar todas las tareas administrativas pertinentes y necesarias con el fin de obtener las partidas presupuestales correspondientes que permitan atender los concursos públicos de méritos en la entidad, y una vez vencido el término anterior, proceda a realizar las respectivas convocatorias para proveer los cargos de carrera que se encuentren vacantes definitivamente o que estén provistos mediante nombramiento provisional o encargo en la misma”.

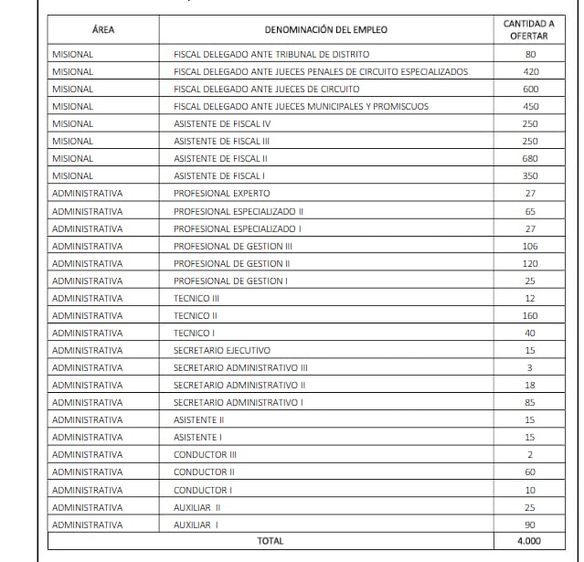
En esta oportunidad, saldrá un número muy alto de puestos a proveer por concurso en la Fiscalía. Este proceso va a implicar la posibilidad de que muchos abogados entren a altos cargos en la entidad. Por ejemplo, hay 80 cupos para fiscales delegados ante tribunal, 420 para fiscales delegados ante jueces penales del circuito especializados, 600 ante el circuito y 450 ante jueces municipales y promiscuos. Es decir, 1550 puestos de fiscales están entre las posibilidades de los aspirantes.

.
. Foto: Resolución de la Fiscalía

También hay puestos que no implican ser fiscal, pero que son atractivos, como los asistentes de fiscales y los profesionales especializados. Y algunos más administrativos, como secretarios, auxiliares y conductores. Todos estos cargos están disponibles en todo el país.

El concurso genera resistencia en el sindicato de la entidad, que en el pasado se ha opuesto a este argumentando que no existen las condiciones técnicas para realizarlo. Y se anticipa que, al igual que ha sucedido en el pasado, implicará una ola de tutelas y recursos.

La provisionalidad y las trabas al concurso

La historia del concurso ha estado llena de vericuetos jurídicos. Cuando se necesitó aumentar la planta se realizaron varios concursos desde el año 2006, pero frente a ellos se presentaron numerosas demandas por parte de quienes no habían obtenido el puntaje suficiente para ser incluidos en las listas de elegibles. Al mismo tiempo, se presentó la vinculación de numerosos funcionarios en provisionalidad, muchos de los cuales estaban en situaciones especiales como ser mujeres cabeza de familia o prepensionados, lo cual dificultó el nombramiento de quienes habían ganado el concurso.

Al parecer, los funcionarios habrían intentado entorpecer los informes judiciales.
Fiscalía niega proyecto para “reestructurar” la entidad. Sindicato dice que el borrador está en el despacho de la fiscal Camargo

Lo más complejo fue que era mucho mayor el número de personas que quedaron en la lista de elegibles que los cargos disponibles, por lo cual se presentaron numerosas demandas y tutelas por parte de quienes estaban en esos listados, pero no eran nombrados todavía porque había muchas personas especiales en situación de provisionalidad y quienes llevaban años en la Fiscalía y no querían ser retirados de sus cargos. Finalmente, la Corte Constitucional emitió la Sentencia C - 446 de 2011, en la cual tomó la situación salomónica de ordenar el nombramiento gradual de quienes habían quedado en las listas de elegibles, pero también dar una protección del derecho de los provisionales que tuvieran una de tres condiciones: i) ser madres o padres cabeza de familia; ii) ser personas próximas a pensionarse, entiéndase a quienes para el 24 de noviembre de 2008 -fecha en que se expidió el Acuerdo 007 de 2008- les faltaren tres años o menos para cumplir los requisitos para obtener la respectiva pensión; y iii) estar en situación de discapacidad, como una medida de acción afirmativa, por ser todos ellos sujetos de especial protección.

Este cambio de estrategia también ha generado dudas frente a los datos estadísticos con los que se mide la gestión de los fiscales.
En gran medida el poder de un fiscal general está en la posibilidad que tiene quien ocupa este cargo de nombrar a miles de personas. Se estima que pueden ser más de 23 mil funcionarios distribuidos en 35 seccionales en todo el país. Foto: CARLOS JULIO MARTÍNEZ-SEMANA

Al mismo tiempo, las necesidades del sistema penal hicieron que la fiscalía tuviera que realizar nuevos concursos, pero se siguieron presentando dificultades, pues se siguieron presentando demandas y tutelas por parte de los funcionarios de planta. El efecto sobre el sistema penal ha sido muy complejo, pues al no existir seguridad laboral y continuidad en el servicio ha sido muy común que los fiscales sean removidos de sus cargos y con ello un caso tenga varios fiscales en muy poco tiempo y que cuando uno ya tiene conocimiento de un proceso tenga que ser removido por circunstancias laborales. Las consecuencias de esta inestabilidad se han vivido en las últimas décadas, en las cuales los cambios frecuentes de fiscales hacen que los procesos prescriban, que venzan los términos o que simplemente las investigaciones no avancen por la falta de continuidad.

Búnker  de la Fiscalía General de la Nación
Fiscalía General de la Nación Foto: Guillermo Torres / Semana

En la resolución, la Fiscalía reconoce esa deuda histórica y asegura que “en consideración de lo ordenado en los fallos señalados y la asignación presupuestal, la Fiscalía General de la Nación adelantara el Concurso de Méritos FGN2024 para la provisión de cuatro mil (4.000) empleos en vacancia definitiva, entre ellos, los provistos transitoriamente en provisionalidad”.

Al parecer, los funcionarios habrían intentado entorpecer los informes judiciales.
Fiscalía acata decisión del Consejo de Estado y provee cargos por concurso de méritos

Lo que vendría en la entidad sería de gran impacto. Significa que una vez resulten ganadores esas 4.000 personas, serían ellas las llamadas a asumir los cargos que hoy tienen otros funcionarios, salvo que estos mismos se hubieran presentado al concurso para su cargo y lo hubieran ganado o el puesto esté vacante.

Luz Adriana Camargo Fiscal general de la nación
La fiscal Luz Adriana Camargo cumple con una orden del Consejo de Estado con relación a la necesidad de hacer el concurso de méritos. Foto: guillermo torres-semana

La labor de la Fiscalía, que se presenta en el documento, fue minuciosa. Allí se detallan uno a uno las 4.000 plazas de la planta de personal, incluidos los de provisionalidad y las modalidades para ascender o ingresar a la entidad.

Lea la resolución que detalla el proceso y los cargos disponibles para proveer por concurso